How KPop Demon Hunters Became This Year’s Overachieving Asian American Movie
Gonna be gonna be golden.
Over the weekend, HUNTR/X turned the world to gold.
Last Saturday, I went to a friend’s birthday party. It was on the rooftop terrace of a Ktown luxury building (and accordingly, most of the guests were Asian). The view was, of course, incredible; it felt like we were floating in the middle of the Manhattan skyline. As afternoon transitioned to evening, the lights at the top of the Empire State Building powered on, shining a golden hue. I had never seen them so up close. I didn’t know it at the time, but the color choice was to celebrate the breakout success of KPop Demon Hunters, a movie that has become the sleeper hit of the summer.
Coincidentally, and I am not making this up, a few minutes before we marveled at the light show, “Golden” started to play over the boombox. It played on a loop five more times before someone queued up a different song. No one seemed to mind that it repeated so many times.
(If you are somehow unfamiliar with KPop Demon Hunters, it’s about a trio of Korean popstars who are also demon hunters. Their group, HUNTR/X, faces off against rival boy band the Saja Boys, who are demons in disguise. The songs are insanely catchy.)
Every year since the release of Crazy Rich Asians, there has been one movie that rallies the Asian American community: The Farewell, Minari, Shang-Chi, Everything Everywhere All at Once, Past Lives, Dìdi1. But it seemed like this streak was about to end. The Wedding Banquet failed to make an impact this past spring, and Celine Song’s follow-up to Past Lives had zero Asians in the cast. Two months ago, I declared that “I haven’t seen anything on the calendar or at the festival [lineups] that suggest we’re getting any other films this year that center Asian American perspectives. Woke really is dead!”
That was published a few weeks after KPop Demon Hunters quietly debuted on Netflix and just before it became the phenomenon that it is today. Big whoops on my end, because this movie is indisputably the Big Asian American Movie of the year.
The movie is not literally about Asian Americans. It’s set in Korea, with a couple sojourns to the demon realm2. But the film undeniably connects to a personal Asian American Experience™ (as represented in mainstream media). Maggie Kang, who conceived of this project, grew up in Toronto, but for the purposes of Asian American media, Canada may as well be the 51st state.
It feels kind of dumb to point out the parallels. Rumi, the group’s leader, was born to a demon father and hunter mother. The tension in her character arc arises from navigating her dual identities. (If anything she codes as wasian.) She and her bandmates in HUNTR/X are the latest generation in a lineage of magical singers, and Rumi in particular deals with generational trauma, expectations of upholding a legacy, and parental abandonment. Thematically it’s identical to The Farewell. But what really makes KPop Demon Hunters an Asian American movie is extratextual. As a cultural object, the film is both an underdog and an overachiever, like a kid who is top of their class at Lowell but still stressed about getting into Stanford.
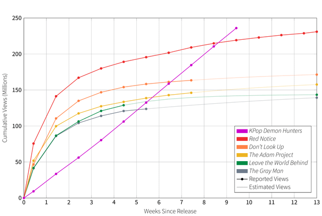
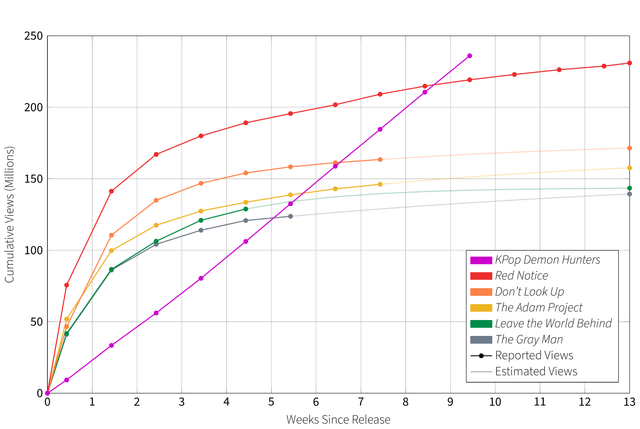
Nobody expected this to become such a hit. Released in late June with little fanfare, a combination of word of mouth and kids watching it repeatedly turned KPop Demon Hunters into a genuine smash hit. It’s been racking up accolades as if they were high school extracurriculars. Unprecedented? This is what it sounds like: a couple days ago it became the most-watched movie in Netflix history. The streamer released it in movie theaters as part of a promotional stunt where fans could sing along to “Soda Pop” while sipping on soda pop. It wound up topping the box office that weekend, a Gold Open if there ever was one. This week, four songs from the film placed within the top ten of the Billboard Hot 100 (the first soundtrack to do so), with “Golden” at the very top (slaying the demonic “Ordinary” by Alex Warren). After Buldak instant noodles were prominently featured in the movie, the company that produces the spicy ramyeon saw their stock price jump. (There’s your Buttered Popcorn food angle!) KPop has been. I keep having to update this paragraph with all the records that it is setting. Lighting up the Empire State Building was marking the peak of the film’s popularity, the sealing of the Honmoon.
![r/dataisbeautiful - [OC] KPop Demon Hunters has Surpassed Red Notice to be the Most Watched Film on Netflix r/dataisbeautiful - [OC] KPop Demon Hunters has Surpassed Red Notice to be the Most Watched Film on Netflix](https://substackcdn.com/image/fetch/$s_!SS1Q!,w_1456,c_limit,f_auto,q_auto:good,fl_progressive:steep/https%3A%2F%2Fsubstack-post-media.s3.amazonaws.com%2Fpublic%2Fimages%2Fc11e2d67-cde7-4c0d-a98a-5fc7d095f6a3_640x429.png)
This long path to success has caught Netflix off guard: there were no deals in place for a potential sequel, and only now are they taking down pre-orders for Funko Pops. (They don’t ship until the end of next January, so you’ll have to wait until after the holidays to receive your idol.) Had there been any confidence that this could have been even a minor hit, there would have been a proper marketing strategy, with Derpy tiger plushies and branded Nongshim noodles rolling out from day one. But this lack of initial support is part of why this movie has been so appealing to my fellow Asians. Even though KPop Demon Hunters was made by giant corporations, it feels like it’s outside the mainstream. During the first few weeks of its release, it was a bit of a secret.
The excitement behind this movie was as organic as can be. There was a little bit of advance advertising targeted to Kpop diehards (my brother’s girlfriend got an Instagram ad for this movie and was one of the first people to watch it). And the homepage of the Netflix app is very valuable real estate. But it took some time to really cross over. A couple people told me their first exposure to KPop Demon Hunters was a TikTok of a white guy singing “Golden” in the bathroom. As someone who doesn’t use Netflix and TikTok, I saw the name come up while scanning the weekly Netflix/VOD charts but didn’t really take notice until a bunch of my friends started posting about this movie on their Instagram stories. It helps that since the movie is on Netflix, it was basically free, and most curious viewers got hooked. The hard part was just getting people to see it.
When I finally got around to watching KPop Demon Hunters, I loved it, just like everyone else. It had me hooked from that very first battle/concert scene. As someone with a noted interest in fake pop music, I judge a movie’s in-universe pop stars by whether or not they could be a success in the real world. But there’s no need to speculate when the entire soundtrack has hundreds of millions of plays on Spotify. My thoughts otherwise are in line with most people I’ve talked to: cute, heartwarming, but needed another ten minutes to flesh things out.
It’ll take at least three years to make the sequel, but it’s safe to say that KPop Demon Hunters 2, whenever it comes out, will be the Big Asian American Movie of its year. The Empire State Building will probably light up the day it’s released, instead of two months after. Anticipation and expectations will be sky high, and the franchise will no longer be an underdog. Pressured to sustain its achievements and uphold the legacy of its forebear? There’s nothing more Asian than that.
For more on the Big Asian American Movie, check out my essay on last year’s Dìdi, which remains one of my favorite things that I’ve written.
One of the idols in HUNTR/X was born in Burbank, and she has a line in “Golden” about her own struggles. (“I lived two lives, tried to play both sides / But I couldn't find my own place”) But Zoey isn’t the focus of the plot.








Yesssss watched it while I was sick when it first came out on a whim and it was so fun I legitimately put it back on a half hour later to distract from fever 😂